跳到主要內容區
您的瀏覽器不支援JavaScript功能,若網頁功能無法正常使用時,請開啟瀏覽器JavaScript狀態
南投縣立瑞竹國民中學
Menu
瑞竹團隊
校長室
教務處
學務處
總務處
導師室
認識瑞竹
校史沿革
瑞竹文物
學校分機表
交通位置
營地管理
南投縣立瑞竹國民中學童軍營地管理網站
Google雲端硬碟
行事曆
113學年上學期
113學年下學期
網站管理
首頁
榮譽榜
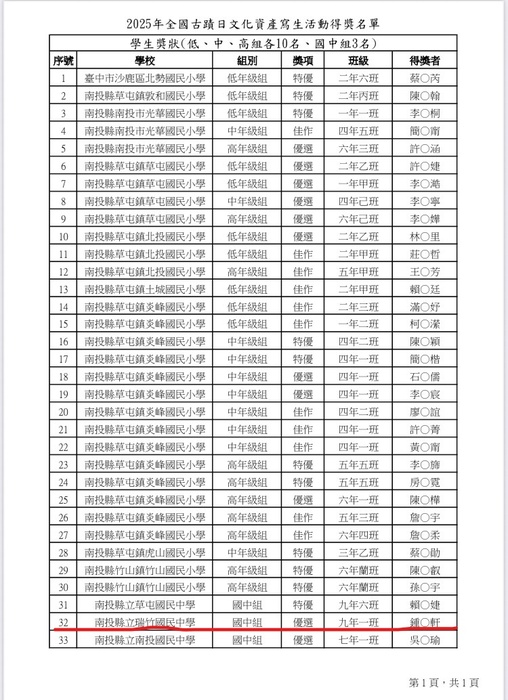
賀本校鍾羽軒同學榮獲2025全國古蹟日文化資產寫生活動優選,指導老師王思又老師
賀本校鍾羽軒同學榮獲2025全國古蹟日文化資產寫生活動優選,指導老師王思又老師
賀本校鍾羽軒同學榮獲2025全國古蹟日文化資產寫生活動優選,指導老師王思又老師
瀏覽數:
友善列印
分享
登入成功
Close (Esc)
Share
Toggle fullscreen
Zoom in/out
Previous (arrow left)
Next (arrow right)